السلام عليكم ورحمة الله
اثنا تجوالى على الشارتات الفت انتباهي وجوشممعه مقلوبة الرأس
على فريم الساعة على اليورو دولار
فهل تشير الى النزول وهل النزول المتوقع لهو هى النقطة 2961
ونرفق لكم الشارت
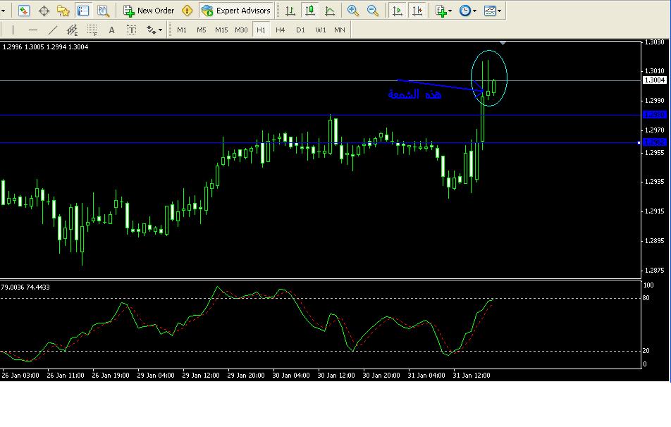
اثنا تجوالى على الشارتات الفت انتباهي وجوشممعه مقلوبة الرأس
على فريم الساعة على اليورو دولار
فهل تشير الى النزول وهل النزول المتوقع لهو هى النقطة 2961
ونرفق لكم الشارت

تعليق